
Publications

Enhancing the Nucleophilicity of Aluminyl Anions: Targeting Selective C–H Activation
F. Kallmeier, G. R. Nelmes, C. L. McMullin, A. J. Edwards, J. Hicks, Chem. Sci., 2025, Advance Article
A. Ariafard, F. Shiri, R. Stranger, L. Eickhoff, J. Hicks, Organometallics, 2025, 44, 5, 637–645


T. Kraemer, K. M. Byrne, J. Hicks, L. P. Griffin, S. Aldridge, Chem. Eur. J., 2025, e202500095
G. M. Richardson, T. Rajeshkumar, F. M. Burke, S. A. Cameron, B. D. Nicholls, J. E. Harvey, R. A. Keyzers, T. Butler, S. Granville, L. Liu, J. Langley, L. F. Lim, N. Cox, N. F. Chilton, J. Hicks, N. J. L. K. Davis, L. Maron, M. D. Anker, Nat. Chem., 2025, 17, 20-28


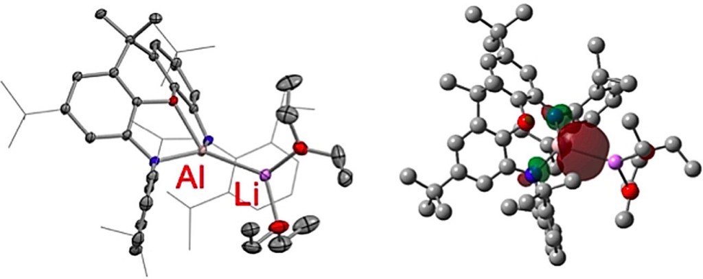
Mechanochemical Synthesis of Iron Aluminyl Complexes
F. Kallmeier, A. J. R. Matthews, G. R. Nelmes, N. R. Lawson, J. Hicks, Dalton Trans., 2024,53, 12450-12454
Stabilisation of the [SiH6]2- Anion within a Supramolecular Assembly
R. Huo, A. J. Armstrong, G. R. Nelmes, D. J. Lawes, A. J. Edwards, C. L. McMullin, J. Hicks, Chem. Eur. J., 2024, 30, e202400662


Intramolecular C–N Bond Activation by a Transient Boryl Anion
E. E. Nahon, G. R. Nelmes, P. J. Brothers, J. Hicks, Chem. Commun., 2023, 59, 14281-14284
One- and Two-Electron Reductions of a Bulky BODIPY Compound
L. M. Pascoe, L. F. Lim, F. Kallmeier, N. Cox, P. J. Brothers, J. Hicks, Dalton Trans., 2023, 52, 15348-15352


Ga–C and Ga–Ga Bond Formation Using a NON-Ligated Gallyl Nucleophile
M. Edwards, J. Hicks, C. McManus, J. M. Goicoechea, S. Aldridge, Polyhedron, 2023, 242, 116520-116520.
A. Caise, J. Hicks, A. Heilmann, S. Aldridge, Chem. Commun., 2023, 59, 7251-7254.


R. A. Jackson, A. J. R. Matthews, P. Vasko, M. F. Mahon, J. Hicks, D. J. Liptrot, Chem. Commun., 2023, 59, 5277-5280.
Inducing Nucleophilic Reactivity at Beryllium with an Aluminyl Ligand
J. T. Boronski, L. R. Thomas-Hargreaves, M. A. Ellwanger, A. E. Crumpton, J. Hicks, D. F. Bekiş, S. Aldridge, M. R. Buchner, J. Am. Chem. Soc., 2023, 145, 4408-4413.


An Aluminium Imide as a Transfer Agent for the [NR]2- Function via Metathesis Chemistry
A. Heilmann, P. Vasko, J. Hicks, J. M. Goicoechea, S. Aldridge, Chem. Eur. J., 2023, 29, e202300018.
Anionic Magnesium and Calcium Hydrides: Transforming CO into Unsaturated Disilyl Ethers
J. S. McMullen, R. Huo, P. Vasko, A. J. Edwards, J. Hicks, Angew. Chem. Int. Ed., 2023, 62, e202215218.


A. Heilmann, M. M. D. Roy, A. E. Crumpton, L. P. Griffin, J. Hicks, J. M. Goicoechea, S. Aldridge, J. Am. Chem. Soc., 2022, 144, 12942-12953.
G. R. Nelmes, P. J. Bothers, J. Hicks, Z. Anorg. Allg. Chem, 2022, e202200127


Reactions of a Dimethylxanthene-Derived Frustrated Lewis Pair with Silanes and Stannanes
I. Zulkifly, A. V. Protchenko, M. Á. Fuentes, J. Hicks, S. Aldridge, Z. Anorg. Allg. Chem., 2022, e202200110.
Crystalline Germanium(I) and Tin(I) Centered Radical Anions
L. F. Lim, M. Judd, P. Vasko, M. G. Gardiner, D. A. Pantazis, N. Cox, J. Hicks, Angew. Chem. Int. Ed. 2022, 61, e202201248.


Controlling Oxidative Addition and Reductive Elimination at Tin(I) via Hemi-Lability
A. Caise, A. E, Crumpton, P. Vasko, J. Hicks, C. McManus, N. H Rees, S. Aldridge, Angew. Chem. Int. Ed. 2022, 61, e202114926
The Aluminyl Anion: A New Generation of Aluminium Nucleophile
J. Hicks, P. Vasko, J. M. Goicoechea, S. Aldridge, Angew. Chem. Int. Ed. 2021, 60, 1702-1713.


Probing the Extremes of Covalency in M−Al bonds: Lithium and Zinc Aluminyl Compounds
M. M. D. Roy, J. Hicks, P. Vasko, A. Heilmann, A.-M. Baston, J. M. Goicoechea, S. Aldridge, Angew. Chem. Int. Ed., 2021, 60, 22301-22306.
N-nacnac Stabilized Tetrylenes: Access to Silicon Hydride Systems via Migration Processes
D. C. H. Do, E. L. Kolychev, J. Hicks, S. Aldridge, Z. Anorg. Allg. Chem. 2021, 647, 1679-1684.


C. McManus, J. Hicks, X. Cui, L. Zhao, G. Frenking, J. M. Goicoechea, S. Aldridge, Chem. Sci. 2021, 12, 13458-13468.
J. Hicks, M. Juckel, C. Jones, Main Group Met. Chem. 2021, 44, 250-255.


C–H and C–F Coordination of Arenes in Neutral Alkaline Earth Metal Complexes
J. S. McMullen, A. J. Edwards, J. Hicks, Dalton Trans. 2021, 50, 8685-8689.
Synthesis, Structure and Reactivity of Terphenyl-Substituted Germylium-Ylidene Cations
R. J. Mangan, A. R. Davies, J. Hicks, C. P. Sindlinger, A. L. Thompson, S. Aldridge, Polyhedron, 2021, 196, 115006.


A. Caise, J. Hicks, M. Á. Fuentes, J. M. Goicoechea, S. Aldridge, Chem. Eur. J., 2021, 27, 2138-2148.
A. V. Protchenko, P. Vasko, M. Á. Fuentes, J. Hicks, D. Vidovic, S. Aldridge, Angew. Chem. Int. Ed., 2021, 60, 2064-2068.


A. V. Protchenko, M. Á. Fuentes, J. Hicks, C. McManus, R. Tirfoin, S. Aldridge, Dalton Trans. 2021, 60, 2064-2068.
Arene C−H Activation at Aluminium(I): meta Selectivity Driven by the Electronics of SNAr Chemistry
J. Hicks, P. Vasko, A. Heilmann, J. M. Goicoechea, S. Aldridge, Angew. Chem. Int. Ed. 2020, 59, 20376-20380.


Carbon Monoxide Activation by a Molecular Aluminium Imide: C−O Bond Cleavage and C−C Bond Formation
A. Heilmann, J. Hicks, P. Vasko, J. M. Goicoechea, S. Aldridge, Angew. Chem. Int. Ed. 2020, 59, 4897-4901.
Activation of Protic, Hydridic and Apolar E−H Bonds by a Boryl-Substituted GeII Cation
R. J. Mangan, A. Rit, C. P. Sindlinger, R. Tirfoin, J. Campos, J. Hicks, K. E. Christensen, H. Niu, S. Aldridge, Chem. Eur. J. 2020, 26, 306-315.


Cooperative N–H Bond Activation by Amido-Ge(II) Cations
X. Zhou, P. Vasko, J. Hicks, M. Á. Fuentes, A. Heilmann, E. L. Kolychev, S. Aldridge, Dalton Trans. 2020, 49, 9495-9504.
D. C. H. Do, P. Vasko, M. Á. Fuentes, J. Hicks, S. Aldridge, Dalton Trans. 2020, 49, 8701-8709.


N–H Cleavage vs. Werner Complex Formation: Reactivity of Cationic Group 14 Tetrelenes Towards Amines
D. C. H. Do, A. V. Protchenko, M. Á. Fuentes, J. Hicks, P. Vasko, S. Aldridge, Chem. Commun., 2020, 56, 4684-4687.
Trapping and Reactivity of a Molecular Aluminium Oxide Ion
J. Hicks, A. Heilmann, P. Vasko, J. M. Goicoechea, S. Aldridge, Angew. Chem. Int. Ed., 2019, 131, 17425-17428.


Reversible, Room-Temperature C—C Bond Activation of Benzene by an Isolable Metal Complex
J. Hicks, P. Vasko, J. M. Goicoechea, S. Aldridge, J. Am. Chem. Soc., 2019, 11000-11003.
Y. K. Loh, K. Porteous, M. Á. Fuentes, D. C. H. Do, J. Hicks, S. Aldridge, J. Am. Chem. Soc., 2019, 141, 8073-8077.


J. Hicks, A. Mansikkamäki, P. Vasko, J. M. Goicoechea, S. Aldridge, Nature Chemistry, 2019, 11, 237-241.
A. Caise, E. L. Kolychev, J. Hicks, M. Á. Fuentes, J. M. Goicoechea, S. Aldridge, Dalton Trans., 2019, 48, 10845-10852.


Reversible O–H Bond Activation by an Intramolecular Frustrated Lewis Pair
P. Vasko, M. Á. Fuentes, J. Hicks, S. Aldridge, Dalton Trans., 2019, 48, 2896-2899.
Borylated N-Heterocyclic Carbenes: Rearrangement and Chemical Trapping
L. Kristinsdóttir, P. Vasko, H. Niu, E. L. Kolychev, J. Campos, M. Á. Fuentes, J. Hicks, A. Thompson, S. Aldridge, Chem. Eur. J., 2019, 25, 2556-2568.


Reduction of Carbon Oxides by an Acyclic Silylene: Reductive Coupling of CO
A. V. Protchenko, P. Vasko, D. C. H. Do, J. Hicks, M. Á. Fuentes, C. Jones, S. Aldridge, Angew. Chem. Int. Ed., 2019, 58, 1808-1812.
J. Hicks, M. Juckel, A. Paparo, D. Dange, C. Jones, Organometallics, 2018, 37, 4810-4813.


D. C. H. Do, A. V. Protchenko, M. Á. Fuentes, J. Hicks, E. L. Kolychev, P. Vasko, S. Aldridge, Angew. Chem. Int. Ed., 2018, 57, 13907-13911.
A. Caise, D. Jones, E. L. Kolychev, J. Hicks, J. M. Goicoechea, S. Aldridge, Chem. Eur. J., 2018, 24, 13624-13635.


P. Vasko, I. A. Zulkifly, M. Á. Fuentes, Z. Mo, J. Hicks, P. C. J. Kämer, S. Aldridge, Chem. Eur. J., 2018, 24, 10531-10540.
Experimental and Quantum Chemical Studies of Anionic Analogues of N-heterocyclic Carbenes
H. Niu, R. J. Mangan, A. V. Protchenko, N. Phillips, W. Unkrig, C. Friedmann, E. L. Kolychev, R. Tirfoin, J. Hicks, S. Aldridge, Dalton Trans., 2018, 47, 7445-7455.


Synthesis, Structure and Reaction Chemistry of a Nucleophilic Aluminyl Anion
J. Hicks, P. Vasko, J. M. Goicoechea, S. Aldridge, Nature, 2018, 557, 92-95.
An Acyclic Zincagermylene: Rapid Activation of Dihydrogen at Sub-Ambient Temperature
M. M. Juckel, J. Hicks, D. Jiang, L. Zhao, G. Frenking, C. Jones, Chem. Commun., 2017, 53, 12692-12695.


Binding of Mono- and Dianions within Silver Thiazolylurea Tweezers and Capsules
N. T. X. Lee, J. Hicks, K. J. Wallace, D. R. Turner, Inorg. Chem., 2017, 56, 12535-12541.
W, Mao, J. Zheng, Y. Zhang, A. S. R. Chesman, Q. Ou, J. Hicks, F. Li, Z. Wang, B. Graystone, T. D. M. Bell, M. U. Rothmann, N. W. Duffy, L. Spiccia, Y.-B. Cheng, Q. Bao, U. Bach, Angew. Chem. Int. Ed., 2017, 56, 12375-12375.


Centric and Acentric Networks Using Low-Symmetry Heterotopic Carboxylate/Pyridyl Ligands
G. S. Hall, M. J. Angeles, J. Hicks, D. R. Turner, CrystEngComm, 2016, 18, 6614-6623.
Coordination Chemistry and Structural Dynamics of a Long and Flexible Piperazine-Derived Ligand
C. S. Hawes, S. Hamilton, J. Hicks, G. Knowles, A. Chaffee, D. R. Turner, S. R. Batten, Inorg. Chem., 2016, 55, 6692-6702.


J. Hicks, E. J. Underhill, C. E. Kefalidis, L. Maron, C. Jones, Angew. Chem. Int. Ed., 2015, 54, 10000-10004.
Low-Coordinate Cobalt(I) Complexes Stabilized by an Extremely Bulky Amide Ligand
J. Hicks, C. Jones, Organometallics, 2015, 34, 2118-2121.


J. Hicks, C. E. Hoyer, B. Moubaraki, G. L. Manni, E. Carter, D. M. Murphy, K. Murray, L. Gagliardi, C. Jones, J. Am. Chem. Soc., 2014, 136, 5283-5286.
J. Hicks, C. Jones, Inorg. Chem., 2013, 52, 3900-3907.


Utilizing Steric Bulk to Stabilize Molybdenum Aminogermylyne and Aminogermylene Complexes
J. Hicks, T. J. Hadlington, C. Schenk, J. Li, C. Jones, Organometallics, 2013, 32, 323-329.
Tuning the Electronic Structure of Mo–Mo Quadruple Bonds by N for O for S Substitution
J. Hicks, S. Ring, N. Patmore, Dalton Trans., 2012, 41, 6641-6650.

